奧氏體、鐵素體、馬氏體不銹鋼有何區別,常見的201,304是哪種體?
奧氏體不銹鋼的特點
在常溫下具有奧氏體組織的不銹鋼。鋼中含Cr約18%、Ni 8%~10%、C約0.1%時,具有穩定的奧氏體組織。奧氏體鉻鎳不銹鋼包括著名的18Cr-8Ni鋼和在此基礎上增加Cr、Ni含量并加入Mo、Cu、Si、Nb、Ti等元素發展起來的高Cr-Ni系列鋼。奧氏體不銹鋼無磁性而且具有高韌性和塑性,但強度較低,不可能通過相變使之強化,僅能通過冷加工進行強化。如加入S,Ca,Se,Te等元素,則具有良好的易切削性。此類鋼除耐氧化性酸介質腐蝕外,如果含有Mo、Cu等元素還能耐硫酸、磷酸以及甲酸、醋酸、尿素等的腐蝕。此類鋼中的含碳量若低于0.03%或含Ti、Ni,就可顯著提高其耐晶間腐蝕性能。高硅的奧氏體不銹鋼濃硝酸肯有良好的耐蝕性。由于奧氏體不銹鋼具有全面的和良好的綜合性能,在各行各業中獲得了廣泛的應用。

鐵素體不銹鋼的特點
在使用狀態下以鐵素體組織為主的不銹鋼。含鉻量在11%~30%,具有體心立方晶體結構。這類鋼一般不含鎳,有時還含有少量的Mn、Ti、Nb等到元素,這類鋼具導熱系數大,膨脹系數小、抗氧化性好、抗應力腐蝕優良等特點,多用于制造耐大氣、水蒸氣、水及氧化性酸腐蝕的零部件。這類鋼存在塑性差、焊后塑性和耐蝕性明顯降低等缺點,因而限制了它的應用。爐外精煉技術(AOD或VOD)的應用可使碳、氮等間隙元素大大降低,因此使這類鋼獲得廣泛應用。
奧氏體--鐵素體雙相不銹鋼的特點
是奧氏體和鐵素體組織各約占一半的不銹鋼。在含C較低的情況下,Cr含量在18%~28%,Ni含量在3%~10%。有些鋼還含有Mo、Cu、Si、Nb、Ti,N等合金元素。該類鋼兼有奧氏體和鐵素體不銹鋼的特點,與鐵素體相比,塑性、韌性更高,無室溫脆性,耐晶間腐蝕性能和焊接性能均顯著提高,同時還保持有鐵素體不銹鋼的475℃脆性以及導熱系數高,具有超塑性等特點。與奧氏體不銹鋼相比,強度高且耐晶間腐蝕和耐氯化物應力腐蝕有明顯提高。雙相不銹鋼具有優良的耐孔蝕性能,也是一種節鎳不銹鋼。

馬氏體不銹鋼的特點
通過熱處理可以調整其力學性能的不銹鋼,通俗地說,是一類可硬化的不銹鋼。典型牌號為Cr13型,如2Cr13,3Cr13,4Cr13等。淬火后硬度較高,不同淬火溫度具有不同強韌性組合,主要用于蒸汽輪機葉片、餐具、外科手術器械。根據化學成分的差異,馬氏體不銹鋼可分為馬氏體鉻鋼和馬氏體鉻鎳鋼兩類。根據組織和強化機理的不同,還可分為馬氏體不銹鋼、馬氏體和半奧氏體(或半馬氏體)沉淀硬化不銹鋼以及馬氏體時效不銹鋼等。
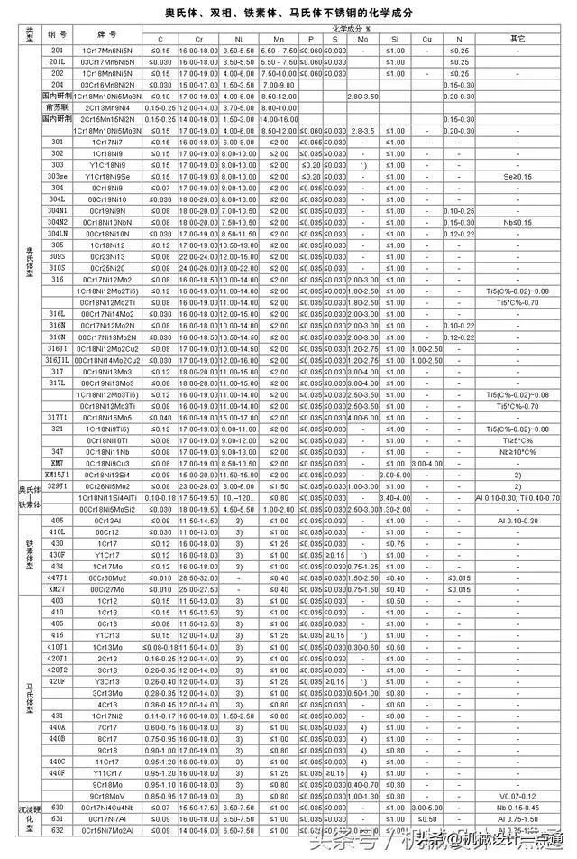
常見不銹鋼牌號的晶體類型及化學成分

文章來源:頭條號/機械設計一點通
相關文章:


