從對機械制造類產品的市場需求出發,定義了產品的功能目標與適用于產品壽命周期的邊界條件。在產品開發的規劃階段,引出了與要求、構造和材料相適應的目標函數。借助“Ashby圖”,可以從眾多的材料選擇項中預選出與性能要求相符合的材料。在規劃設計階段,需要對相應材料效率的要求加以規范化,因為這些要求與用于輕量化的材料質量有關。本節中,采用形狀因子對改善使用性能的成形方法進行量化,性能指標的成本則通過價格指數加以關聯。借助自行車車架的例子,說明了按照基本要求和邊界條件分步選擇材料的方法。借助用于內燃機的鑄造合金適合度的評估示例,來說明用于重量組合的要求和邊界條件,并進行相互比較。為了對材料方案進行評估,還將得出的合金性能范圍與在材料組中的加工消耗進行比較。作為示例,還對可能用于一款面向市場的、大批量生產的高性能發動機的材料進行了比較和選擇。
引言
結構材料必須首先能夠承受機械載荷,其次要滿足其他的功能,如:導熱或者熱絕緣。對材料的力學性能要求還有:剛度、動態強度和靜態強度、減振、斷裂韌度、抗磨損能力和抗蠕變能力。材料可以如下分類:陶瓷、非晶形材料(玻璃)、金屬、聚合物與復合材料(見2.1節)[1,2]。輕量化所需要的材料要與結構相匹配,特別是要能夠實現輕量化的目標。圖2-3-1展示了由不同材料制成的兩個自行車車架:一個車架是1896年用竹管組裝的[3],一個是100年后用碳纖維增強塑料加工而成的(CFK)[4]。如今,大部分的自行車的梯形車架是用鋼或者鋁合金加工而成的。為什么選擇這些材料來制造車架?不同的材料之間有什么區別?如何選擇合適的材料?本章節就是要回答這些問題。

圖2-3-1自行車作為輕量化示例
a) 竹車架1896[3]b)碳纖維增強塑料車架2007[4]
輕量化意味著將一個用于特定應用的構件體系的重量最小化。一個運動構件越輕,構件用于運動改變所需要的能量就越少。對于所有的產品來說,都要用市場可接受的成本來進行生產。每種材料可接受的價格在很大程度上取決于其應用,如圖2-3-2所示。一般來說,用于建筑業的材料的價格必須低于用于汽車制造和醫療技術的材料的價格。價格與市場容量成反比例關系:使用量越大,價格就越低。在航天工業中省下1kg的重量,就可以節省大約5000歐元的費用。不過,這種按照應用領域進行的一般性考察并不適用于某些特殊的案例:用于在(西班牙)比爾堡古根海姆博物館的擋板是采用昂貴的鈦合金制造的,或者寶馬豪華轎車的發動機是采用鎂合金制造的。雖然這些特殊的案例產品所占有的市場容量非常小,但是僅僅采用技術功能來評估這些產品是不夠的,因為建筑同時也是藝術品,而汽車則是身份和社會地位的象征。

圖2-3-2材料的平均價值(價格/質量)與應用有關,反過來與市場容量成比例關系[17]
2.3.2在產品開發要求的框架內選擇材料
問題:“對于一個特定的應用來說,何種材料是最佳的?”回答這一問題的前提是:對構件的使用條件進行了分析,并在需求框架(任務書)內整理出了任務要求[5]。只有在需求框架與構件參數的功能框架完全明確后,才有可能對設計進行優化。一般來說,通常需要根據評估作出妥協。材料選擇[6]始于市場對新產品的需求或者對已有產品在功能以及合理的加工方法方面的需求(表2-3-1)。


在初始階段,首先要生成能夠滿足構件要求的規劃。材料供應商以及新材料開發研究人員可以提供范圍廣泛的材料,這些材料的力學、摩擦、物理、化學以及生態性能與產品所要求的使用性能相對應。下一步是用構件的構造參數來確定構件的成形方法,從而限定材料的范圍。這樣,一個設計的抉擇就和一個材料的選擇聯系起來了,并可以用來評估對產品和材料要求的滿足程度。虛擬產品開發和使用仿真可以驗證材料對所提出的要求的滿足程度,不過可能要按照實現目標的能力對預期設計進行修正。這一問題解決周期可以多次循環進行。通過這種方法,可以定義材料規格與制造允差,確定加工工藝鏈。最后,則可以確定用于產品加工的準確生產計劃,生產出的產品可以滿足現有的應用需求或者新的應用需求。對于材料供應商和后續加工者的質量要求也是這樣定義的,這些質量要求也包括了產品的功能和供貨條件等要求。在選擇材料時,材料研發人員、工程師與銷售人員一起工作、相互配合是最重要的,它可以帶來滿足市場的創新——新的產品、材料替代或者制造方法的改變。
2.3.3材料效率
在考慮到不同要求的情況下,如何對現有的材料進行評估?首先,必須將構件功能與材料性能相關聯,以便于對特征值進行比較。要對不同的材料進行比較以及對材料進行預選,材料數據庫以及供應商的數據表是必不可少的。Ashby和他的團隊[7,8]開發出了一個方法,用來對材料的性能進行圖形比較。
圖2-2-3顯示了不同材料種類的屈服強度與密度關系的雙對數圖。材料性能可近似為一個橢圓,垂直主軸作為強度離散區域。相對來說,密度的變化很小。可以將材料種類歸納到域,例如,鈦合金的橢圓位于屈服強度100~1000MPa的區間,密度區間為4.4~4.6g/cm3,在圖中具體的位置則取決于合金成分和熱處理工藝。

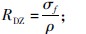
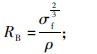
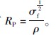
圖2-3-3借助材料效率線RDZ、RB、RP得出的不同材料的屈服極限與材料密度的關系[18]
如何利用Ashby圖呢?如果要尋找確定了最小強度的材料,則可以將這個最小強度作為界線繪到圖表中,屈服強度位于界線之上的材料都可供選擇使用。例如,在水平線100MPa之上的材料有金屬、高技術陶瓷與復合材料。該界線對應于如下歸納的要求:“材料在100MPa載荷的作用下,既不會產生塑性變形,也不會發生斷裂”。在圖2-3-3中,越是位于左邊的材料,就越輕:當強度大于100MPa時,碳纖維增強塑料是最輕的材料。泡沫聚合物、木與皮革更輕,但是強度達不到要求。不過,只滿足軸向的要求往往并不能保證材料能夠承受相應的載荷。隨之而來的問題是:材料會在多大程度上滿足一個特定的應用要求?
第二個例子見圖234。該圖顯示了材料彈性模量與材料密度區域的雙對數圖,圖中的材料有泡沫塑料、木、合成橡膠、聚合物、復合材料、合金、多孔陶瓷和工程陶瓷。表中的輔助線對應于不同的單一材料在低頻率下機械波的傳播速度(v)。
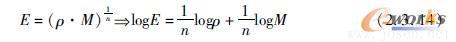
聲波速度v取決于材料的彈性模量(E)和密度(ρ):

就是說:材料的彈性模量越大以及密度越小,波在該材料中傳播的速度就越快。在雙對數圖表中,速度v可以改寫為:

方程式(2.3.2)對應于一個直線方程:γ=ax+b,其中,γ為logE,x為logρ,斜率a=1(在每個軸上一個十進位數)。在ρ=1下的縱坐標值對應于密度為1mg/m3的材料,其彈性模量為E=v2。該方程描述了一個直線族,其對于各種聲波傳播速度v以及比彈性模量E/ρ平方根的斜度為1。v越高,比彈性模量越大,則直線就越向上移動。在根據方程式(2.3.2)得出的位于直線上方的所有材料都有相同的比彈性模量,例如:在纖維方向上的木材、一些復合材料、泡沫陶瓷和絕大多數的合金。

圖2-3-4不同材料類別的彈性模量密度對數示意圖:木材、聚合物、合金、陶瓷與復合材料,帶有不同聲波擴散速度直線(=比彈性模量)
2.3.4方法學
如何將材料選擇過程系統化呢?Ashby等人[8]建議采取下列步驟:
●定義構件使用目標函數的最大值或最小值:能源、成本、質量、剛度等。
●針對這些目標函數(P)開發出一個方程[方程式(2.3.3)],方程與功能要求(F)、幾何形狀(G)和材料性能(W)相關:P=f(F,G,W):
P=f[(功能要求F),(幾何參數G),(材料性能W)](2.3.3)
●識別目標函數的變量:要求、形狀、性能。
●確定最低要求,如:價格界限、供貨能力等(邊界條件前沿)。
●在目標函數中使用變量。
●如果可能,將目標函數分為三個部分:
P=f1(F)·f2(G)·f3(W)(2.3.4)
以便于對每個部分進行優化。f1是由市場需求和使用者來確定的;f2是設計人員的主要任務;這兩個函數的求解都取決于材料選擇f3。這樣可以將獨立的解法疊加組合起來,用來在關聯中找到“創新妥協”。
●要得出使用性能的表達式f3(W),需要定義與使用相關的材料效率的最大值:M=f(W)。考慮到M=f(W,G),不僅是高效利用材料使用性能的要求,也是在材料選擇與成形方法之間變化關系的要求。
●借助數據庫、圖表加以量化。
目標函數的定義是材料選擇成功的關鍵。一般來說,針對要求設定的使用參數和邊界條件是多維的,絕大多數情況下是相互矛盾的,所以要設置優先次序:價格與/或重量與/或體積,哪個重要?有多重要?對設計材料的功能要求在于要滿足特定的熱—力學功能。舉例來說,當演員站在舞臺上時,舞臺的變形必須是不可見的;熱交換器必須能實現良好的導熱;轎車的車身在發生事故的時候要能保護乘客。另外,舞臺建筑看上去要有藝術感,熱交換器要可回收,汽車要有運動感。除了這些很難量化的目標參數之外,還要注意到嚴格的邊界條件:最大成本、最小特征值、標準尺寸、生態指標以及貿易保護法規(例如:在一級方程式賽車中禁止采用金屬基復合材料)等。
2.3.5剛度與質量
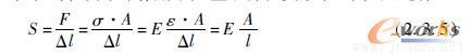
對輕量化設計來說,最重要的性能組合是在低重量下的高剛度。剛度(S)取決于構件幾何形狀(G)上的彈性模量(E)以及機械載荷類型。材料的彈性模量是材料在拉載荷或者壓載荷作用下抵抗彈性變形的能力(參見21節)。胡克定律σ=Eε適用于材料在單軸拉應力或者壓應力(σ)作用下的彈性應變(ε=Δl/l)。
剛度(S)與構件的彈性變形有關,取決于構件的幾何形狀與載荷方向:構件的橫截面為A,長度為l,在外拉力(F)作用下產生了彈性變形(ΔL),因此有:

剛度不僅與材料的彈性模量有關,也與構件的幾何形狀,即橫截面與長度的比例有關。這個問題可以歸納如下:要找到對于一根剛度確定的(要求)、盡可能輕的桿的材料(目標函數)。這根桿在規定的力(F)作用下產生的變形不能超出規定值Δl。這樣可以得出目標函數:針對給定剛度(S)的最小質量(m),剛度定義了可允許的彈性變形。圖235顯示了兩種載荷類型:單軸拉伸以及圓柱桿的彎曲,圓柱桿的一端固定、初始長度(l)確定、直徑(d)和橫截面(A)可選擇。

圖2-3-5在力F作用下,橫截面為A、長度l的圓柱桿的彈性變形Δl
a)單軸拉/壓載荷b)一端固定情形下的彎曲
1拉應力載荷與壓應力載荷
圖2-3-5a中的桿在單軸拉載荷或者壓載荷作用下應當只發生彈性變形。
●目標函數P可定義為:
P=m=V·ρ=A·l·ρ→最小值(2.3.6)
式中,V為體積;ρ為密度;m為應當最小化的質量。剛度SZ可以表示為力(F)和延長(Δl)的函數,見方程式(2.3.5)。針對橫截面的變化,對方程式(2.3.5)進行轉換,可以得到方程式(2.3.7):

●變量及其分類的識別:如果將方程式(2.3.7)中的A代入方程式(2.3.6),則可以將目標函數分解為三個部分作為因子:

式中,f1為給出的剛度要求;f2為給出的構件幾何形狀,其長度為l,橫截面變量為A;f3則是材料的使用參數,由彈性模量和密度給定。
●對于最小桿重量,材料效率即比彈性模量MDZ=E/ρ最大。就是說,在低密度下彈性模量高的材料最適合。圖234中標識出了具有盡可能高的聲波速度的材料。對于軸向彈性載荷來說,以重量為基準的位于比彈性模量相同的導線上的材料的效率是一樣的。
表2-3-2給出了在上面討論的應力載荷作用下的木、鋼、輕合金、復合材料與塑料的材料效率值。可以按照M值的大小對材料排序,以分辨出最合適的材料。對于拉壓桿來說,鋼、鋁合金、鎂合金和鈦合金的材料效率基本相同,就是說,這些材料在相同剛度下的重量相同,當然橫截面則不相同。單向、高模數碳纖維增強塑料(UDCFK)構成的桿最輕,而由泡沫材料做成的桿最重。

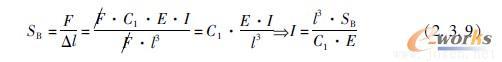
2彎曲應力載荷
對于一端固定的、承受彎曲載荷的桿(圖235b),可根據方程式(238)將剛度SB表示為力(F)和偏轉(Δl)的函數。桁梁端部的偏轉可以表示為與橫截面有關的彈性模量和面積慣性矩(I)的函數:

采用圓桿的面積慣性矩I0作為基準值:

用方程式(2.3.9)的面積慣性矩進行替代,則由方程式(2.3.10)可以得出受載橫截面為:

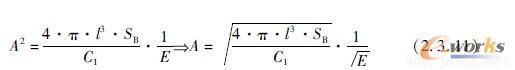
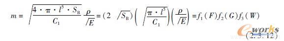
如果將方程式(2.3.11)中的A代入方程式(2.3.6),則可以得到目標函數P的三個因子f1,f2和f3:

在這種情況下,當材料效率

最大時,可以達到最小重量,這有別于在拉/壓載荷作用下的材料效率。周圍固定的圓形平板,在中心垂直承受彈性負載時:當材料效率

最大的時候,在相同的剛度(相同撓曲)下重量最輕。表2-3-2對抗彎梁的材料效率進行了比較,采用單向碳纖維增強塑料做成的桿最輕,纖維方向上的木緊隨其后。在金屬中,輕金屬比鋼更適應彎曲應力載荷,玻璃纖維增強塑料(UD-GFK)也有類似的材料效率。
雙對數Ashby圖[8]提供了一個簡明的用于材料評估的方法。在該方法中,將材料效率表示為平行直線束。這些直線位置越高,所屬材料的效率就越高。對于給定的剛度,在構件最小重量下,材料效率M應當為最大。通常將材料效率M表示為彈性模量與密度的函數:

式中,對于拉和壓情形,n=1;對于一端固定的桿彎曲情形,n=1/2;對于所有端都固定的平板壓彎情形,n=1/3。根據方程式(2.3.5),可將方程式(2.2.13)改寫為直線方程:

方程式(2.3.14)描述了斜度為1/n的直線族,即:對拉壓桿為1,對彎曲桿為2,對彎曲板為3。每條直線都與材料有關,在輕量化中,這些材料的效率相同,而材料效率則與剛度有關。縱坐標距離更高的直線對應于更大的M值與更大的比剛度。圖2-3-6中引入了用于拉壓載荷、桿彎曲和平板撓曲的輕量化輔助線。采用這種圖表方法,可以快速簡單地對材料效率進行比較。斜度為2的輔助線(與桿彎曲相對應)平行向上移動,直至遇到最后一個材料,在這里為碳纖維增強塑料。由此可以確定,緊密堆積、高模數單向碳纖維增強塑料(見22節)對輕量化抗彎梁來說是最佳材料,緊隨其后的是纖維方向上的西印度輕木。從理論上說,鈹和金剛石與西印度輕木的使用價值相同。對于平板的撓曲,可以假設一個各向同性的彈性模量,該彈性模量既不適用于木材也不適用于纖維增強復合材料。在表2-3-2中,對于采用這種材料構成的平板假設有0/90°的復合方式(值為a),此種復合方式會使剛度下降。

圖2-3-6Ashby圖:材料彈性模量與材料密度的關系,帶有用于壓/拉桿、
抗彎梁和平板壓彎曲相同材料效率的定位線,M沿箭頭方向上升[6]
3強與輕
對于強度高和重量輕、或者斷裂韌度高和重量輕的要求,也可以借助Ashby圖表對材料效率進行評估(圖2-3-7)。

圖2-3-7Ashby圖:材料斷裂韌度與材料密度的關系,借助
用于各種載荷類型的相同材料效率C的輔助線確定[6]
4在彈性區域的應力載荷—彈性極限
對于靜態穩定的結構形式來說,材料可承受的最大載荷直至彈性極限(見2.1節)。對鐵素體鋼和馬氏體鋼來說,材料可承受的最大載荷可直至屈服強度。對其他金屬和聚合物來說,材料可承受的最大載荷則直至延伸極限。對于這些材料來說,在拉載荷和壓載荷作用下,這些材料特征值的絕對值通常相同。陶瓷則不一樣,承受壓載荷作用的陶瓷強度至少是承受拉載荷作用的陶瓷強度的十倍以上(見21節)。對于合成橡膠,采用斷裂強度作為設計的極限值。圖2-3-3所示為以材料密度為基準的材料強度區域雙對數圖。與彈性模量相反,一個材料組的強度取決于材料的成分和加工過程。可由剛度導出以物體重量為基準的材料效率(在最大允許應力下不產生塑性變形)為[1、8]:
對拉壓桿,有

對簡單抗彎梁,有

對圓形平板,有

根據方程式(2.3.13),M給出了彈性變形的材料效率,而R則與在彈性變形區域允許的最大應力有關。在圖2-3-3中繪出了用于材料效率R的輔助線。同樣地,還是要在圖表中的左上方尋找最佳的輕量化材料。
5失效—韌性斷裂與輕
出于使用安全考慮,靜態承載結構形式也根據材料的斷裂韌度來設計,以避免產生解理斷裂。材料的斷裂韌度特征值KIC(見2.1節)表示了線彈性的、最大允許的應力強度值。在材料失效時,KIC還是能量吸收能力的尺度。與陶瓷、橫向紋理的木材和塑料相比,金屬與復合材料的斷裂韌度相對較高。圖2-3-8所示為根據線彈性斷裂力學得出的材料斷裂韌度值與材料密度值的雙對數圖表。
與強度類似,可以針對各種載荷類型導出針對斷裂韌度C的材料效率,即可得出以下關系式[1、8]:
對拉壓桿,有

對簡單抗彎梁,

對圓形平板,有

圖2-3-8中繪出了與相同材料效率相對應的輔助線。在這里還要注意的是:如果要求材料的韌度越好與質量越輕,就越要到圖表的左上方去尋找材料。區域KIC>10MPa m1/2也意味著增塑,因此,這一區域只用來定向。在圖中,對于眾多載荷類型來說,纖維復合材料都是處于尖峰域,而金屬的比斷裂韌度比陶瓷的比斷裂韌度要好。

圖2-3-8材料彈性模量和密度的雙對數示意圖[6],.采用輕量化抗彎梁及其向左上方向位移的相同材料效率輔助線,考慮到了變形因子。示例中,根據方程式(2.3.21),借助E*和ρ*提高到了10,以提高ΦMB=1的材料的效率[6]
6輕與價廉
產品的價格是一個重要的市場標準。在選擇材料時必須要考慮到一點,即能夠以合適的成本生產出輕量化的構件。基于這一考慮,可以在材料價格/材料重量的基礎上引入一個價格因子。這個價格因子可以給出材料以重量為基準的價格與結構鋼每千克價格的比例關系(表2-3-2)。如果采用材料的價格因子除以材料效率,則材料效率可以與材料的價格相關,就是說,通過這種方法可以得到一個相對尺度,看出如果將一個材料的使用參數與鋼的相同參數相比,其價格會比鋼材貴出多少。舉例來說,這里要尋找用于一個剛度確定的抗彎梁的材料,要求梁的價格要便宜,重量要盡可能輕。
表2-3-2中根據材料效率對材料序列進行了比較,條件是抗彎梁剛度確定、一端固定,比較方式為不采用材料價格基準進行比較與采用材料價格基準進行比較,括號表達式內為材料價格基準。價格因子明顯地改變了輕量化抗彎梁材料的序列。現在,木材為第一選擇,之后是鋼。如果不考慮價格,鋼是最后的選擇。由于碳纖維增強塑料的價格高,反而落到了最后的位置。
在這個例子中,輕和價廉的要求占有同等地位。一般來說,必須對各種要求進行優先權評估,并且對于使用參數要考慮到重量因素。
2.3.6幾何形狀
迄今為止,選擇的都是幾何形狀簡單的試樣,如實心圓桿或圓形平板。實際上,還可以借助構件的幾何形狀設計來滿足輕量化要求。對于單軸拉載荷或者壓載荷來說,載荷均勻分布在構件的橫截面上,與構件的形狀無關。對于彎曲或者扭轉來說,就不再是這樣了。形狀因子(Φ)是一個無量綱的數,表征了與尺寸無關的、在一定載荷作用下的、抵抗變形的橫截面形狀阻力。剛度的形狀因子ΦM與強度的形狀因子ΦR可用來考察一端固定梁的彎曲載荷。由抗彎剛度的形狀因子ΦMB可得出一個橫截面的面積慣性矩對于圓桿的面積慣性矩的關系:

式中,I為一個幾何形狀的面積慣性矩;I0為圓形橫截面的面積慣性矩;SB和S0B分別為相應的抗彎剛度。
表2-3-3給出了簡單桁梁橫截面的抗彎剛度形狀因子和抗彎強度形狀因子。壁厚越薄以及直徑越大(例如:管的直徑),形狀因子越高。

形狀因子是如何影響目標函數與材料效率的呢?在抗彎梁的例子中,可以將方程式(2.3.15)代入方程式(2.3.9)中。

與方程式(2.3.11)類似,承載橫截面可表示為:

對于質量最小化的目標函數P,可在材料效率中引入與橫截面相關的因子


應當為最大值的材料效率f3(W)為:

就是說:形狀因子越大,材料效率越高。但是,形狀因子的選擇不是無限制的,而是取決于可用于該材料加工的成形方法。表2-3-4列出了管形狀因子的例子,管采用表中給出的材料加工。木材料的管很難加工,但是用于桁梁的形狀因子則可以達到2.5(表2-3-3)。采用焊接板材可以方便地加工出薄壁管,特別是采用鋼材可以達到很高的形狀因子。薄壁管和纖維增強塑料管的承載能力受限于凸起失效(見1.2節)。表2-3-4展示了按照實心桿抗彎強度(形狀因子1,如表2-3-2)得出的材料序列,并將其與每個形狀因子可實現的材料效率進行了比較。這里,單向碳纖維增強塑料又成為剛度最好的材料選擇,緊隨其后的是鋼,然后是木材以及輕金屬鋁和鎂。如果采用價格因子,鋼管就是價格最好的方案。

如何在Ashby圖表中考慮形狀因子呢?圖2-3-8所示為不同材料彈性模量與密度的雙對數圖表以及輕量化抗彎梁輔助線。方程式(2.3.18)可以改寫為:

2.3.7示例:自行車架的材料選擇
劍橋工程選擇(CES)[10]是為個人計算機開發的軟件。采用這個軟件,可以按照規定的原則用計算機來進行材料選擇。這里以自行車架為例,逐步說明材料選擇的方法。
CES由三個數據庫構成:①材料;②依據材料類別的材料性能;③準確的材料性能。為了提出設計一個梯形車架的建議,可將最重要的目標函數歸納如下:在低重量下的高抗彎剛度、高強度和足夠的韌度。這樣,可以在考慮到形狀因子RB和C的情形下對材料效率MB進行比較。為了實現較大的市場份額,又加入了針對價格低廉方案的框架條件。
●要求A:在高抗彎剛度下的最小重量。
為此,首先根據圖2-3-9,采用針對材料類別的彈性模量—密度圖表。根據方程式(2310),材料效率


圖239Ashby圖:材料類別的彈性模量與密度的關系,借助輕量化抗彎梁的材料效率輔助線[17]●要求B:利用成形方法提高抗彎剛度。
尋找面積慣性矩盡可能高的材料來加工長構件,采用這些構件將車架組裝起來。在目標函數中引入幾何形狀因子,可借助根據方程式(2.3.15)和表2-3-2得到的形狀因子ΦMB,由方程式(2.3.20)得出幾何形狀組合的材料效率。
●要求C:價格低廉。
自行車應當可以每天使用,可供應的市場范圍很廣。這個邊界條件可以與工藝材料效率結合在一起,并除以價格因子(見表2-3-2)。這樣一來,在最小重量下,對于長構件可加工橫截面抗彎剛度的要求就可以采用成本來進行加權評估了。圖2-3-10顯示了借助輔助線在方程式(2.3.18)中除以以質量為基準的價格因子后得到的結果。通過域“纖維方向木”在圖中繪入基準線。在圖2-3-10中,只畫出了材料效率抗彎剛度/價格高于木材的材料。

圖2-3-10承受彎曲應力載荷的材料的彈性模量/形狀因子與(密度價格/質量)/形狀因子的關系。圖中采用木的材料效率作為輔助線
a)總覽圖圖2-3-10承受彎曲應力載荷的材料的彈性模量/形狀因子與(密度價格/質量)/形狀因子的關系。圖中采用木的材料效率作為輔助線(續)
b)具有比木材更高的以價格為基準的材料[18]
●要求D:強與輕。
根據章節2.3.5.1,可引入拉壓應力載荷和彎曲應力載荷的材料效率作為選擇標準(圖2-3-11a,M=3/2)。按照相同剛度下價格更低廉的標準選擇出的材料結果可見圖2311b。按照這一要求,材料選擇中排除了合成橡膠和陶瓷。

圖2-3-11
a)在相同抗彎剛度下,選擇出的價格更便宜的材料(圖2310b)的屈服強度及其密度,借助針對壓/拉/彎曲應力載荷的材料效率輔助線b)材料的彈性模量/形狀因子對比密度價格/形狀因子,材料是指通過木材輔助線在圖a)中還存在的材料[18]

圖2-3-12滿足A~D要求的材料的斷裂韌度與密度,借助針對壓/拉與彎曲應力載荷的材料效率的輔助線[18]

圖2-3-13選擇材料彈性模量/形狀因子與密度/形狀因子的關系,借助抗彎剛度輔助線[18]
●要求E:失效的安全性極限。
所采用材料的斷裂韌度應當限制在KIC>20MPa m1/2。這樣一來,不僅排除了陶瓷,也排除了木材、聚合物和鑄造合金。斷裂韌度的材料效率應當滿足輕量化桁梁可承受的拉、壓、彎曲與扭轉應力載荷的要求。對于超出了規定斷裂韌度極限值的材料,根據章節2.3.5.2的介紹,可以借助材料效率CDZ和CB進行評估。按照要求A~D選擇的材料在圖2-3-12中以材料效率“斷裂韌度與輕”來進行評估。在具有足夠斷裂韌度的材料中,只有鋼、高強度鈦變形合金和高強度鋁變形合金以及價格昂貴的碳纖維增強塑料具有高的材料效率。
●要求F:材料必須可回收。
CES[11]還包括了針對材料回收能力選擇的標準。按照這個標準,復合材料無法滿足要求。采用迄今為止選擇出的材料組,通過使用性能數據庫,可以得出準確的合金,在圖2.3.13中顯示出了這些合金以價格為基準的比剛度。由此可以得出滿足規定要求的材料順序:
低合金鋼;
鋁合金:變形鋁合金3xxx與5xxx;
高強度鋁合金:變形合金 2xxx,7xxx;
不銹鋼;
鋅合金:鋅鋁合金,鋅銅合金;
玻璃纖維增強塑料:環氧樹脂基與苯酚樹脂基。
●根據上面得到的結果,對比在引言中提到的材料方案(圖2-3-1):竹車架不能滿足韌度要求,而碳纖維增強塑料車架由于成本的原因也不予考慮。
2.3.8示例:對四沖程發動機的多種要求
1內燃機的目標參數
表2-3-5給出了內燃機最重要的目標及其加工方法。這些參數按照其意義對整個汽車及其市場能力進行加權,其中5表示最重要。目標與發動機材料性能的內在聯系通過量化的概念和特征值符號給出,對此在表2-3-6中給予了解釋。

尺寸較小的發動機可以減小汽車尺寸以及降低整車重量,但對于強調功率的發動機來說,只能通過增加氣缸工作容積來提升發動機的功率。這樣一來,不論是對于制造方法還是對于構件強度,減小缸體壁厚都是一個挑戰。因此,目標設定不僅涉及構件,也涉及整車。對于不同的要求來說,可以引進哪些材料特征值作為目標值呢?表2-3-6[9]顯示了材料特征值的多樣性。在可能的情況下,可根據參考文獻[1]將其表示為組合特征值的材料效率,并通過引入示例的相應載荷來加以描述。相應的表達式與表2-3-5中列出的目標有關。按照要求,將表2-3-6劃分為氣缸體和氣缸區域(這里為氣缸套)。在表2-3-6中傳遞到材料上的要求對發動機使用性能有不同程度的影響,對此要求對材料特征值進行加權。最重要的參數是缸體材料的比交變疲勞強度、鏡面磨損以及缸體與缸套復合物的質量。
2材料比較
根據已有的技術知識,不需要對所有可供使用的材料進行材料效率評估。由于曲軸箱形狀復雜,只能采用鑄造方法加工。由于要承受熱應力載荷,所以不能采用塑料,而根據對曲軸箱材料斷裂韌度的要求,又可以排除陶瓷。基于成本的原因,不用考慮鎳合金和銅合金。這樣一來,值得考慮的只有合金組灰鑄鐵、鋁合金和鎂合金。可以根據準確的特征值和數據對特殊示例[10]進行比較:GG25和GGV500、AlSi8(9)Cu3、AlSi7Cu4Mg和AZ91(見2.1節)。根據對氣缸體和氣缸鏡面要求(表236)進行劃分的方法,還可以考慮采用材料復合的方式,即將能夠達到抗磨損和油膜穩定性要求的氣缸套鑄入不必達到這一要求的鋁合金或者鎂合金氣缸體中。已知的是,灰鑄鐵和鋁基復合材料(MMC)可以滿足氣缸鏡面的要求,因此,在灰鑄鐵缸體和過共晶鋁硅合金中不需要單獨鑄入缸套。

下面介紹一個材料比較的方法,在該方法中考慮到了要求的整體性。按照表2-3-6的形式,在表2-3-7中列出了所選擇的合金最重要的材料效率,表中的離散范圍位于最小特征值和最大特征值之間。基于預期的表達方式(表2-3-6),將每個最佳值加粗標注出來。這個值得到最高分5,其他的值可相對這個值來進行計算(欄內左部分)。刻度值(在0到5之間)乘以加權,加到每個材料上。這樣得出的加權總和雖然沒有絕對的說服力,但是用來對材料進行比較是足夠了。
●灰鑄鐵最大的優點在于良好的阻尼性、不需要使用缸套與高強度,缺點是重量大、比剛度小[11]。在按照表2-3-7進行的技術評估中,灰鑄鐵以72~99分列在最后一檔。

●亞共晶鋁硅合金重量低、導熱性好、比剛度高。與灰鑄鐵相比,缺點是強度低、耐磨性差、減振差。在按照表2-3-7進行的技術評估中,亞共晶鋁硅合金以104~131分列第二檔。
●過共晶鋁硅合金除了具有亞共晶鋁硅合金的優點外,還具有高抗磨損強度,可以無缸套使用[12,13]。在按照表2-3-7進行的技術評估中,過共晶鋁硅合金以128 ~152分列第一檔。
●鎂合金具有最小的密度與高比剛度,導熱性高于灰鑄鐵(但比鋁硅合金的低),但是疲勞強度低、易腐蝕、抗蠕變性差、熱膨脹系數高。在按照表2-3-7進行的評估中,鎂合金的分數與亞共晶鋁硅合金類似,但是離散度高(97~137)。
亞共晶鋁硅合金與鎂合金[14]需要采取與氣缸套材料復合的方式,這樣可以提高技術性能指標。
3制造方法的經濟性
為了生產四沖程發動機,對下列鑄造方法進行了考察(見3.1節):砂型鑄造、金屬型鑄造、壓鑄、低壓鑄造、擠壓鑄造(可與實時控制壓鑄方法等效)。對每種方法參數的詳細考察可參見參考文獻[13]~[17]。對于大的構件,灰鑄鐵只能采用砂型鑄造方法,鋁合金可以用上面提到的所有鑄造方法加工,對于鎂合金則只能采用壓鑄的方法。為了進行目標比較,引入了大量的經濟性因素[15]。在圖2-3-14中,采用加權表示了用于四沖程發動機批量生產的特征參數[13,14]。圖中的長帶對應于重量帶寬。為了得到有說服力的相對特征數,必須按照材料的特征值那樣對這些相對值進行刻度化、加權與相加處理。最重要的點是加工周期以及構件的復雜程度。

圖2-3-14用于曲軸箱加工的經濟因子的加權平均
考慮到構件的復雜程度,鑄造方法的差別很大(見3.1節)。傳統的砂型鑄造方法沒有競爭力,可以采用的方法有用于灰鑄鐵鑄造與鋁合金鑄造的組芯造型方法。在組芯造型方法中,鑄模由多個單一芯構成,采用插塞連接、粘接連接與/或螺栓連接等方式以自動化方式組裝在一起。對于鋁合金和鎂合金,可以采用低壓鑄造、壓鑄和擠壓鑄造的方法進行加工。
如果采用由灰鑄鐵或者MMC構成的氣缸套,則還需要一個額外的加工程序。氣缸套必須事先加工完畢,然后鑄入亞共晶鋁硅合金中,或者擠壓進鑄造件中。按照定位方法,可采用擠壓鑄造方法,在成形加工時將鋁基體材料擠入圓柱形的、多孔的硅氧化物或者鋁氧化物預制件中[15]。
4功能范圍圖示表
為了能夠清楚地表達所得到的數據,根據圖2-3-15選擇了功能范圍圖示方法。在這個方法中,橫坐標為批量生產能力,縱坐標為技術功率。越往右,則生產的經濟性越好。越向上,則技術性能越好。可以采用圖2-3-14中區域C和D中的產品來替代區域A中的產品,也可以采用區域D中的產品來替代B中的產品。區域C中的產品是否能替代區域B中的產品則要看技術改善與成本提高的性價比。

圖2-3-15與批量生產有關的工藝性能替代功能圖表

圖2-3-16四沖程發動機大批量生產的材料可替代方案總功能圖表:對角長帶作為GG25方案的替代極限(在其下面的產品沒有競爭力)
對于本節中研究的四沖程發動機,可以給出材料/方法組合的區域。該區域是由刻度化的材料總和以及經濟性總和的最小值和最大值構成的。圖2-3-16所示為按照圖2-3-15在材料功能圖表中繪制的大批量生產的發動機結果域。這里選擇了由最經濟的GG25材料用組芯造型方法加工的氣缸曲軸箱作為比較基準。圖中灰色的長帶表示了可能的替代邊界。所有位于帶下方的氣缸曲軸箱與灰鑄鐵發動機缸體相比都是沒有競爭力的。
這個功能圖表很好地反映了氣缸曲軸箱產品的現狀。在大批量生產中,首先采用GG25,緊隨其后的是帶有灰鑄鐵氣缸套鑄入件的AlSi8Cu3箱體。鋁合金曲軸箱的技術性能明顯優于灰鑄鐵曲軸箱。這兩種材料的曲軸箱都是采用組芯造型方法生產的。
采用組芯造型方法鑄造的蠕蟲狀石墨灰鑄鐵(GGV 500)[16]可以很好地替代傳統片狀石墨灰鑄鐵。蠕蟲狀石墨灰鑄鐵具有更好的材料性能,可以實現輕量化設計,但是蠕蟲狀石墨灰鑄鐵的石墨組織比較難控制,這一點會導致生產成本增加。沿著替代直線更左面的是帶有灰鑄鐵或者MMC氣缸套的AlSi9Cu3壓鑄殼體。與GG25相比,是否選擇AlSi9Cu3壓鑄發動機殼體要看其較低的經濟性和更高的技術性能哪個更重要。按照這個模型,鎂合金殼體大批量生圖2-3-17用于四沖程發動機的技術指標高、
成本壓力小的材料功能圖表(豪華車型、跑車)產的經濟性無法與灰鑄鐵相比,但是具有更好的技術性能。原則上,MMC氣缸套的設計使用比灰鑄鐵的設計使用難度要大。因此,對于所有的方法,這個材料區域都更向左。由于具有更高的抗磨損強度和更低的重量,這個區域具有更好的技術性能。位于替代界限下方的、無競爭力的方法有重力鑄造和低壓鑄造方法。在組芯造型方法的大批量生產中,采用過共晶鋁硅合金的缸體,由于凝固時間長(加工周期)、設備與人工費用高,其競爭力不如采用灰鑄鐵和亞共晶鋁硅合金材料的缸體。
通過采用功能圖表進行比較,可以看出,材料功能圖表所表達出的效果更好一些。但是,在這個圖表中,對技術性能的評估要高于對生產成本的評估(圖2-3-17,例如:用于豪華轎車或者跑車的大容量發動機)。與圖2-3-16相比,對過共晶均質AlSi17Cu4Mg曲軸箱體的低壓鑄造方案的評估結果與帶氣缸套的亞共晶鋁硅合金材料方案相同。在這個產品領域中,還有一個鎂/鋁復合曲軸箱體方案[10]。采用這種方案的發動機性能與過共晶鋁硅合金缸體相同,但是由于重量減輕,從而降低了汽車的重量,使得汽車的行駛性能得到了提高[17]。
2.3.9小結與展望
對一個構件及其使用的目標功能和邊界條件的表達越精確,就越可以更好地定義相關材料的特征值。由于需要滿足的要求多種多樣,因此有必要對材料進行評估,以便于確定材料性能的優先權,并對其進行加權評估。在簡單的情形下,將各種使用參數緊密結合起來進行分析,比采用材料效率的方法更有效。通常采用指數冪來表達材料密度的相關性,因此,在對材料進行輕量化比較時,采用雙對數表的表達方式非常有幫助。除此之外,也可采用針對各種材料效率和邊界條件的材料逐步選擇方法。
一個設計方案能否實現取決于制造方法,特別是加工材料的成形與連接方法。在搞清楚加工工藝后,必須進行經濟性評估。一般來說,制造方法的成本要高于材料的成本。CES[18]考慮了加工方法,但也只是提供了一個輔助方向。在制造構件過程中獲取數據是很困難的,也會導致不同的評估結果。因此,對新構件制造的預測還無法做到很精確,但是,學習曲線的方法還是有效的(見第7章)。采用材料功能范圍圖示方法,可以對工藝和經濟生產花費進行比較。采用材料域的方法,至少可以對各種材料種類的潛力進行相對比較。對于每種應用情形與每個制造商來說,都要根據具體的應用情形和制造方法來選擇合適的材料。為了實現成功的決策,除了采用上面介紹的方法之外,還要根據技術經驗和基于對市場的預測進行判斷。采用選擇的材料數據對構件功能進行仿真以及對試樣進行測試,可以對解決方案進行驗證。另外,還有可能需要對目標函數加以修改,再重新進入問題解決循環周期。在確定了加工方法、準確的材料規格和加工允差后,還要檢查目標函數是否滿足市場成本的要求。除此之外,還要針對降低制造成本的要求,充分挖掘改進潛力以及對極其重要的學習曲線進行評估,只有這樣,成功的創新才是可以期待的。


