張力減徑變形原理(deformation theory of tube stretch redticing process)

關于管材帶張力無芯棒連軋的運動學、金屬流動、減徑量分配和孔型設計、尺寸精度控制、力能參數等的基本理論。
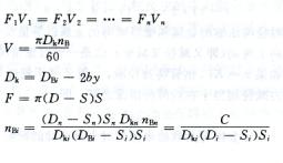
張力減徑機運動學 連軋機工作的基本條件是各機架秒體積流量相等即:
FiVi=const
式中Fi為任一機架管材截面積;Vi為相應機架管材出口速度。
對理想過程的偏差,可用系數C來表示:
Ci+1=(Fi+1Vi+1-FiVi) / Fi+1Vi+1
當C>0時機架間將產生張力。但這并不意味著帶張力連軋過程是違反各架秒流量相等的原則,這是因為帶張力減徑時在軸向力作用下金屬縱向流動阻力減小,導致管壁減薄傾向比無張力時大,管子的斷面積(Fi+1)將減小,最終仍可保持相鄰機架秒流量相等。這就是張力減徑機可實現大變形量(減徑又減壁)的基本原理。
張力值的選擇 張力值的大小以張力系數Z表示。張力系數是縱向應力σ1和金屬的變形抗力Kf之比。
平均張力系數Z,對一個機架來說等于前后張力系數的平均值。
張力值的大小問題實質上是一個減壁量問題。Z值一般應在0.5~0.8之間。
最大張力系數除了要受避免管子被拉斷的限制外,還受管子與軋輥間摩擦系數的限制。

圖1示出一個機架上軸向力的平衡關系。在軋制軸線上作用有Px(垂直壓力的軸向分量)、前張力q后張力qH以及軸向摩擦Pf,而平衡條件是
q+Pf-qH-Px=0
由于機架前后張力q及qH分別與減徑前后管子截面積成正比,減徑量愈大,減徑前后管子截面積之差愈大,則q和qH之差也愈大。這樣Pf=T為一正值,即摩擦力方向同軋輥旋轉方向相一致,減徑過程可以實現。如果q+Pf<qH+Px則減徑過程不能實現。

圖2給出了最大摩擦系數下管子外徑、張力系數與減徑率的關系。
此外,最大張力系數Zmax值還受到一些工藝因素的影響,有時Z<0.8時,在生產中還可能產生拉斷現象,如Kf值選得不準確,溫度不均等。張力系數一般都是由經驗來選取的。
軋輥轉速的確定 準確地計算軋輥轉速不論對張力減徑機設計或者張力減徑生產都是必要的。
在設計張力減徑機時,須對各種產品規格進行綜合轉速計算,或者為了簡略起見,選擇具有代表性的幾種規格進行轉速計算,然后分別畫出轉速曲線(圖3)。根據轉速曲線確定電機調速范圍。代表性規格指的是按最大張力進行減徑的規格、按最小張力或推力進行減徑的規格和用少數機架即短系列生產的規格。目前采用液壓一差動傳動的張力減徑機的調速范圍一般為±30%,即若同一機架的最大速度與最小速度之比用R來表示,則R=1.3/0.7=1.86。對單獨傳動的張力減徑機,調整范圍±50%,R=1.5/0.5=3。

機架號縱坐標:n/r.min-1
圖3 各架軋輥轉速分布曲線
1-調速+30%;2-基本轉速;3-調速-30%
在確定轉速時,要涉及到單架減徑率、單架減壁率、張力和工作直徑等。
影響單架減徑率ΔD/D的決定因素是D/S。早期二輥張力減徑機單架減徑率可達14%~17%,但現代減徑機的單架減徑率一般在6%~9%左右。對于通常的D/S(為10~20),當入口管徑小于100mm時,取ΔD/D=7%~9%,當入口管徑大于100mm時(例如等于150~180mm時),則取ΔD/D=6%。
單架減壁率ΔS/S實質上是一個張力值大小的問題。由于Zmax=0.8,這一數值也就決定了最大減壁率的極限值。根據金屬流動規律,減壁率大小又與減徑率有一定關系。
雖然尚不能建立單架減壁率與單架減徑率間精確的定量關系式,但是可用下列方法確定總減徑率與最大總減徑率之間的定量關系。
(1)諾伊曼(F.Neumann)的計算方法。當總減徑率為25%~30%時,不可能有減壁率,總減徑率為50%~60%時,可能的總減壁率為總減徑率的1/4~1/3。當總減徑率高達70%以上時,可能的總減壁率為減徑率的40%。
(2)羅德爾(W.Rodder)的經驗曲線(圖4)。

縱坐標:減壁率/% 橫坐標:減徑率/% 圖4 總減徑率和減壁率的關系圖
1理論最大值;2實際值
(3)意大利因諾森蒂(Innocenti)公司的經驗式:
當ΔD/D≥50%時△S/S=(ΔD/D-13%)×0.55
當ΔD/D<50%時△S/S=(ΔD/D-16%)×0.55
在ΔD/D已定時,則可確定所能達到的最大減壁率。
用以上(2)、(3)兩種方法計算所得的結果相近。
轉速計算方法的理論基礎是各架金屬秒流量相等:

式中Dk為軋輥工作直徑;nB為軋輥轉速;D為管子外徑;S為管子壁厚;b為孔型高度;y為系數。
上式說明任一架的轉速為常數C被[Dki(Di-Si)Si]所除而得的商,所以計算nBi主要是確定Dki和Si。
因諾森蒂公司推薦的y值如下:

張力減徑過程中在始軋機架中由于張力漸漸升起,所以管壁有增厚現象,而在終軋機架中由于張力逐漸消失,管壁同樣也有增厚現象,因此沿軋機長度方向壁厚的變化如圖5所示。這是張力減徑過程中壁厚的變化的一般規律。若始軋機架為2~3架,取第1架壁厚增厚,第2架壁厚不變(或稍減薄,但仍大于來料壁厚),第3架壁厚減薄(但仍大于來料壁厚)。第4架減壁,并等于中間機架的減壁量。始軋機架壁增厚或減薄值一般在0.03~0.08mm范圍內。
若終軋機架為3架,取成品機架有增厚(或壁厚不變),成品前架也是增厚,成品前第2架有增厚或減薄。終軋機架的增厚或減薄值一般在0.01~0.03mm范圍內,一般是成品前第2架或第3架的管壁最薄。
中間機架的平均減壁率(%)按下式計算:


圖5各架壁厚分布示意圖
張力減徑時金屬流動的基本方程式 分析張力減徑的金屬流動多用西貝爾(E.Siebel)和韋伯(E.Weber)提出的塑性理論,這是因為管子減徑過程和鋼管空拔很相似。但由于也存在著差異,僅能給出定性分析。
西貝爾公式從塑性變形的基本假設出發,得出在某一方向上的對數變形φ與該方向的正應力σ和平均應力σm之差成正比,得出金屬流動的基本方程式為(圖6):

由上式可看出,各方向的變形大小由各方向的正應力和平均應力之差值決定。

圖6 減徑時的應力分析
保羅(Paul)和格呂納(GrLiner)在西貝爾提出的方程中引入塑性變形條件:
σ1-σt=Kf
式中Kf為變形抗力,是材料單向屈服應力,相當于拉伸試驗時的屈服點,在沒有加工硬化時Kf是定值;考慮加工硬化的情況下,Kf改成平均值Kfm。
假設徑向應力σr=0,則根據方程式(2)可得:
![]()
將式(3)和(4)代入式(1),再用Kf除,則得到如下的比例等式:
![]()
式中Z=σ1/Kf即張力系數。
由式(5)可明顯看出張力系數的作用,即在不同作用下金屬流動的情況有以下3種:
![]()
這意味著徑向壓縮時金屬一半流向長度方向(即延伸),一半流向管壁(即壁增厚)。這種應力狀態下的減徑變形,即為無張力減徑機中的鋼管變形情況,稱為對稱變形。但在一般減徑過程中,由于壁厚變化受多種外界因素影響,并非是對稱變形。
![]()
這意味著壁厚保持不變,徑向壓縮時金屬僅向長度方向(縱向)流動,為平面變形。這種變形狀態相當于微張力減徑機變形情況。

這時徑向壓縮的金屬和壁厚減薄的金屬以等量而長度方向上流動(即又減徑又減壁)。這是一種理想情況,因為如果σ1=Kf,鋼管將被拉斷,一般Z值不超過0.8。張力減徑相當于在后兩種情況之間,即
0.5≤Z<1
以上分析可大致給出張力對金屬流動的影響。實際上σr不等于零,因此也不能忽略。在變形區中由入口到出口,σr σtσ1均在變化著,一般認為σr σt 由變形區入口到出口逐漸減小,這是因為σ1由變形區入口到出口是逐漸增加的。而作用在鋼管橫斷面各環層上的σr也不相同,對于薄壁管,徑向平均應力大小可用下式表示:
![]()
式中γ為壁厚系數

張力減徑機減徑率的分配和孔型設計
減徑率的分配 原則是:開始的幾個機架(一般為2~3架)為張力升起機架,ΔD/D值(減徑率符號ρ)較中間機架為小;末尾的幾個機架(一般為3~4架)是張力降落機架,最后一架取ΔD/D<1%,成品前架取ΔD/D<3%,倒數成品前第二架的ρ與正常ΔD/D值的差不應大于3%。圖7為各架減徑率的典型分配。

縱坐標:每架減徑率/%
圖7 各架減徑率的分配
平均減徑率可用下式確定:
![]()
式中n為機架總數,n-4為有效機架數目。
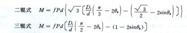
孔型設計 三輥張減孔型(圖8,)設計的基本公式如下。

圖8 三輥減徑機孔型



圖9 ζ 和 ρ 的關系
在進行孔型設計時以上幾式是計算的基本公式。當減徑率分配已定,即ρ已知,ζ可由圖9曲線查得。當ρ和ζ已知后,則可求出α,然后由d和α求a和b。
由于上述公式中僅用ζ=bi-1/ai這一參數來考慮寬展,為了可靠,需引進一個參數λ(%):
λ=(ai-1-bi)/(ai-bi-1)×100
式中分子表示前一架孔型的長半徑和后一架孔型短半徑之差,即高度上的絕對壓下量△bi;分母表示后一架孔型長半徑和前一架孔型短半徑之差,即寬展量△ai。λ表示兩者之間的比例關系。
意大利因諾森蒂公司所推薦的州直如下:

計算時有時α和λ兩個參數有矛盾。通常是把λ做一個核算參數,當差異較大時應重新計算。
張力減徑管的尺寸精度
內多邊形 張力減徑和無張力減徑類似,軋制時沿孔型周邊壁厚分布是不均勻,無張力減徑時內孔常出現多邊形。形成內多邊形的趨勢如下:
(1)S/D愈小,壁厚不均愈小,當S/D為0.05~0.10時內孔不圓現象幾乎不出現;
(2)當S/D較小時,張力大小對內孔形狀沒有多大影響,厚壁管的減徑應在微張力下工作;
(3)減徑量愈小,則內孔形狀愈好;
(4)孔型的橢圓度愈大,則內孔形狀愈差。
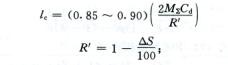
縱向壁厚不均 張力減徑的主要問題是產生較大的縱向壁厚不均,這是由于管子兩端所承受的張力與管子中間不同。所以軋制后管子兩端壁厚,中問壁薄,導致切頭長度增加。
切頭長度可用羅德爾公式計算:

式中△S為減壁量;Cd為機架間距;Mε為總延伸系數。
張力減徑機的力能參數

式中F為接觸面積,Dc為軋前軋后管徑平均值;η為估計外區對平均單位壓力的影響系數,η=1+0.9Dc/l×(S/Dc)1/2;l為變形區長度;S為來料壁厚;ZH、Z為前后張力系數。
接觸面積按下式確定:

張力減徑時的軋制力矩按下式確定:

式中,f為金屬和軋輥間摩擦系數;P為軋制力;d為孔型直徑;Di為軋輥理想直徑;θk為工作直徑的特征角。
前后張力造成的力矩是相反的,張力減徑時每一架的軋制力矩取決于前后張力之比值是增加還是減小。第1架和最后2~3架條件完全不同。如第1架力矩減小,這是前張力作用的結果;相反,在最后一架力矩減小是由于后張力作用力矩的增加。在中間機架中由于前后張力值相接近,軋制力矩處于穩定。
| |


